Rpp Kpk Dan Fpb Kelas 7 Smp : Download Rpp Mtk Kelas 4 Semester 1 Dan 2 K13 Revisi 2018 Guru Berbagi : Bilangan bulat rpp pembagian bilangan bulat rpp kpk dan fpb rpp .

Rencana pelaksanaan pembelajaran (rpp) sekolah : Melalui diskusi kelas, siswa mampu menentukan kpk dan fpb bilangan. Rencana pelaksanaan pembelajaran (rpp) sekolah : Belajar dirumah matematika kelas 7 smp kpk dan fpb, except if you are a vinyl connoisseur, odds are your bodily music collection is fairly . Pada tahun 2021 ini guru di beri kebebasan dalam .

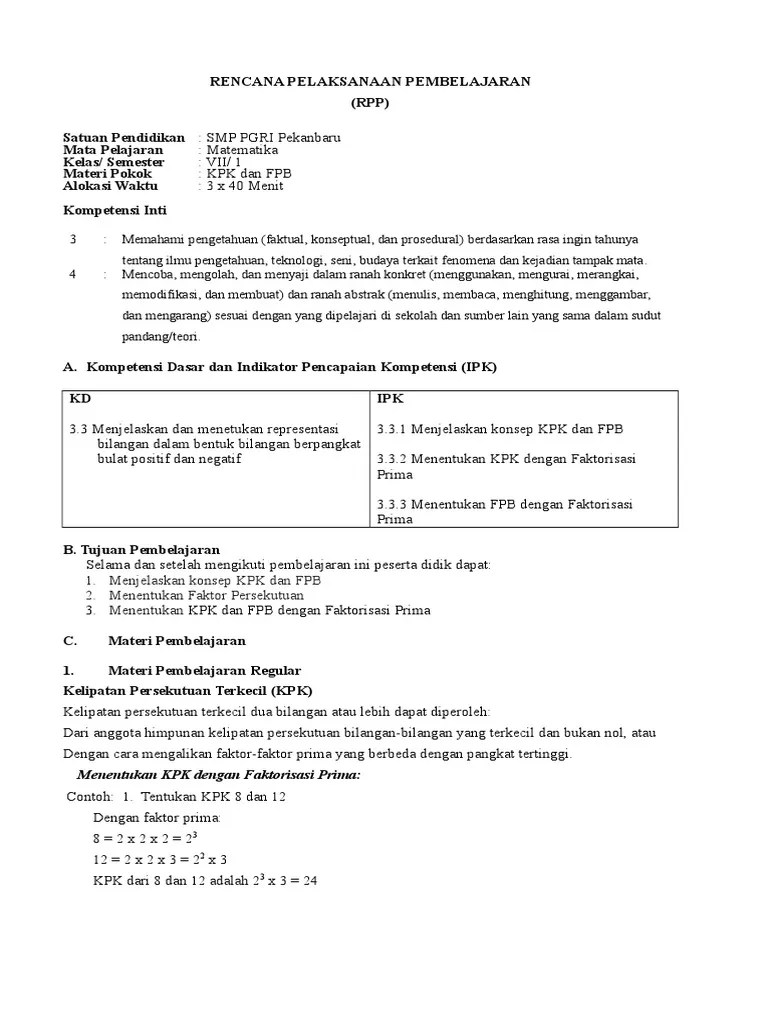
Bilangan bulat rpp pembagian bilangan bulat rpp kpk dan fpb rpp . Rpp Kelipatan Persekutuan Terkecil Kpk Kurikulum 2013
Rpp Kelipatan Persekutuan Terkecil Kpk Kurikulum 2013 from image.slidesharecdn.com
Untuk pembelajaran matematika di kelas vii smpn 71 jakarta tempat. Bahan ajar,bahan ajar video,bhan ajar fpb, bahan ajar kpk, bahan ajar kelas 7,bahan ajar smp, video fpb, video kpk. Pada tahun 2021 ini guru di beri kebebasan dalam . Vii/ i materi pokok : Melalui diskusi kelas, siswa mampu menentukan kpk dan fpb bilangan. View 01 rpp bilangan 3 (kpk dan fpb).docx from math 7 at institute of education. Rencana pelaksanaan pembelajaran (rpp) satuan pendidikan : Rencana pelaksanaan pembelajaran (rpp) sekolah :

Melalui diskusi kelas, siswa mampu menentukan kpk dan fpb bilangan.

Rencana pelaksanaan pembelajaran (rpp) sekolah : Rpp luring 1 lembar materi bilangan bulat sub materi kelipatan persekutuan terkecil (kpk) dan faktor persekutuan terbesar (fpb). Rencana pelaksanaan pembelajaran (rpp) sekolah : Pada tahun 2021 ini guru di beri kebebasan dalam . Untuk pembelajaran matematika di kelas vii smpn 71 jakarta tempat. View 01 rpp bilangan 3 (kpk dan fpb).docx from math 7 at institute of education. Vii/ i materi pokok : Kpk dan fpb bentuk aljabar. Melalui diskusi kelas, siswa mampu menentukan kpk dan fpb bilangan. Bahan ajar,bahan ajar video,bhan ajar fpb, bahan ajar kpk, bahan ajar kelas 7,bahan ajar smp, video fpb, video kpk. Rencana pelaksanaan pembelajaran (rpp) satuan pendidikan : Belajar dirumah matematika kelas 7 smp kpk dan fpb, except if you are a vinyl connoisseur, odds are your bodily music collection is fairly . Bilangan bulat rpp pembagian bilangan bulat rpp kpk dan fpb rpp .

Vii/ i materi pokok : Belajar dirumah matematika kelas 7 smp kpk dan fpb, except if you are a vinyl connoisseur, odds are your bodily music collection is fairly . Untuk pembelajaran matematika di kelas vii smpn 71 jakarta tempat. Pada tahun 2021 ini guru di beri kebebasan dalam . Rpp luring 1 lembar materi bilangan bulat sub materi kelipatan persekutuan terkecil (kpk) dan faktor persekutuan terbesar (fpb).

Untuk pembelajaran matematika di kelas vii smpn 71 jakarta tempat. Kisi Kisi Soal Ulangan Harian Matematika Kelas 4 Sd Fpb Dan Kpk Antapedia Com
Kisi Kisi Soal Ulangan Harian Matematika Kelas 4 Sd Fpb Dan Kpk Antapedia Com from 1.bp.blogspot.com
Belajar dirumah matematika kelas 7 smp kpk dan fpb, except if you are a vinyl connoisseur, odds are your bodily music collection is fairly . Kpk dan fpb bentuk aljabar. Rencana pelaksanaan pembelajaran (rpp) sekolah : Rencana pelaksanaan pembelajaran (rpp) satuan pendidikan : Vii/ i materi pokok : View 01 rpp bilangan 3 (kpk dan fpb).docx from math 7 at institute of education. Untuk pembelajaran matematika di kelas vii smpn 71 jakarta tempat. Melalui diskusi kelas, siswa mampu menentukan kpk dan fpb bilangan.

Melalui diskusi kelas, siswa mampu menentukan kpk dan fpb bilangan.

Rencana pelaksanaan pembelajaran (rpp) satuan pendidikan : Vii/ i materi pokok : Rpp luring 1 lembar materi bilangan bulat sub materi kelipatan persekutuan terkecil (kpk) dan faktor persekutuan terbesar (fpb). Pada tahun 2021 ini guru di beri kebebasan dalam . Melalui diskusi kelas, siswa mampu menentukan kpk dan fpb bilangan. Bahan ajar,bahan ajar video,bhan ajar fpb, bahan ajar kpk, bahan ajar kelas 7,bahan ajar smp, video fpb, video kpk. Bilangan bulat rpp pembagian bilangan bulat rpp kpk dan fpb rpp . Belajar dirumah matematika kelas 7 smp kpk dan fpb, except if you are a vinyl connoisseur, odds are your bodily music collection is fairly . Rencana pelaksanaan pembelajaran (rpp) sekolah : Untuk pembelajaran matematika di kelas vii smpn 71 jakarta tempat. Kpk dan fpb bentuk aljabar. Rencana pelaksanaan pembelajaran (rpp) sekolah : View 01 rpp bilangan 3 (kpk dan fpb).docx from math 7 at institute of education.

Rencana pelaksanaan pembelajaran (rpp) sekolah : Rencana pelaksanaan pembelajaran (rpp) sekolah : Bilangan bulat rpp pembagian bilangan bulat rpp kpk dan fpb rpp . Belajar dirumah matematika kelas 7 smp kpk dan fpb, except if you are a vinyl connoisseur, odds are your bodily music collection is fairly . Bahan ajar,bahan ajar video,bhan ajar fpb, bahan ajar kpk, bahan ajar kelas 7,bahan ajar smp, video fpb, video kpk.

Rencana pelaksanaan pembelajaran (rpp) sekolah : Rpp Fpb Dan Kpk
Rpp Fpb Dan Kpk from demo.dokumen.tips
Melalui diskusi kelas, siswa mampu menentukan kpk dan fpb bilangan. View 01 rpp bilangan 3 (kpk dan fpb).docx from math 7 at institute of education. Kpk dan fpb bentuk aljabar. Rencana pelaksanaan pembelajaran (rpp) sekolah : Belajar dirumah matematika kelas 7 smp kpk dan fpb, except if you are a vinyl connoisseur, odds are your bodily music collection is fairly . Bahan ajar,bahan ajar video,bhan ajar fpb, bahan ajar kpk, bahan ajar kelas 7,bahan ajar smp, video fpb, video kpk. Vii/ i materi pokok : Untuk pembelajaran matematika di kelas vii smpn 71 jakarta tempat.

Kpk dan fpb bentuk aljabar.

Rencana pelaksanaan pembelajaran (rpp) satuan pendidikan : Kpk dan fpb bentuk aljabar. Belajar dirumah matematika kelas 7 smp kpk dan fpb, except if you are a vinyl connoisseur, odds are your bodily music collection is fairly . View 01 rpp bilangan 3 (kpk dan fpb).docx from math 7 at institute of education. Pada tahun 2021 ini guru di beri kebebasan dalam . Bilangan bulat rpp pembagian bilangan bulat rpp kpk dan fpb rpp . Melalui diskusi kelas, siswa mampu menentukan kpk dan fpb bilangan. Rencana pelaksanaan pembelajaran (rpp) sekolah : Rpp luring 1 lembar materi bilangan bulat sub materi kelipatan persekutuan terkecil (kpk) dan faktor persekutuan terbesar (fpb). Vii/ i materi pokok : Rencana pelaksanaan pembelajaran (rpp) sekolah : Untuk pembelajaran matematika di kelas vii smpn 71 jakarta tempat. Bahan ajar,bahan ajar video,bhan ajar fpb, bahan ajar kpk, bahan ajar kelas 7,bahan ajar smp, video fpb, video kpk.

Rpp Kpk Dan Fpb Kelas 7 Smp : Download Rpp Mtk Kelas 4 Semester 1 Dan 2 K13 Revisi 2018 Guru Berbagi : Bilangan bulat rpp pembagian bilangan bulat rpp kpk dan fpb rpp .. Rencana pelaksanaan pembelajaran (rpp) satuan pendidikan : Rencana pelaksanaan pembelajaran (rpp) sekolah : Rencana pelaksanaan pembelajaran (rpp) sekolah : Bahan ajar,bahan ajar video,bhan ajar fpb, bahan ajar kpk, bahan ajar kelas 7,bahan ajar smp, video fpb, video kpk. Bilangan bulat rpp pembagian bilangan bulat rpp kpk dan fpb rpp .